Допустим, некий студент потерял свою сумку с книгами, а мы её нашли. Сможем ли мы по учебникам, которые лежат в сумке, догадаться о том, кто этот студент – математик или физик?
Вот учебник – «Физический практикум». А вот другой – «Уравнения математической физики». Ну, кто наш студент? Думаете физик? Нет, математик! И наоборот – учебники по высшей математике («Теория вероятностей» или «Функциональный анализ») запросто могут лежать в сумке у студента-физика...
Однако не будем торопиться с выводами. Разница между физиком и математиком на самом деле есть, причём разница огромная!
Вообразим, что мы получили какой-то набор экспериментальных данных. Неважно каких – по астрономии, по электричеству или по атомной физике. Какова наша задача? Найти какую-то зависимость, отыскать формулу, которая эти разрозненные экспериментальные данные свяжет в единое целое. Чтобы мы могли с помощью этой формулы делать научные предсказания. Скажем, Ньютон открыл формулу закона всемирного тяготения. Астрономы и физики всего мира этой формулой пользуются:
Так вот: это задача, которую решает математик. Формула найдена? Она работает? Всё, математик может валиться на диван и ждать получения какой-нибудь премии.
А что же физик? А вот для учёного-физика отыскание формулы – это только половина работы. Ему ещё нужно объяснить почему формула работает. Какие фундаментальные принципы делают её именно такой?
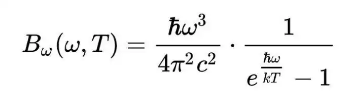
Например, блестящий физик-теоретик Макс Планк в 1900 году именно угадал свою знаменитую формулу (распределение энергии в спектре абсолютно чёрного тела):
Выглядит сложнее формулы Ньютона, но не сказать, чтобы что-то особо страшное. Бывают формулы намного длиннее, даже в школьном учебнике...
Но вот для того, чтобы объяснить эту формулу, Максу Планку пришлось перевернуть всё с ног на голову и начать создавать целый новый раздел физики – квантовую физику...
Как говорится, «не было у бабы горя, да купила порося»...
Вот теперь мы можем вернуться к Ньютону. Когда он вывел формулу закона всемирного тяготения, другие учёные спросили: «Хорошо, допустим, все тела притягиваются друг к другу. Но почему?!» И вот тут Ньютону пришлось ответить (на латыни, как и положено тогдашнему учёному): «Hypotheses non fingo», то есть «гипотез я не измышляю».
На вопрос «как» Ньютон ответил, а вот ответа на вопрос «почему» пришлось ждать еще 200 лет, до появления общей теории относительности Эйнштейна...
Так что Ньютон прежде всего математик, а не физик. И недаром главная книга Ньютона называется «Математические начала натуральной философии» (то есть, говоря современным языком, «Математические начала физики»).
Иногда задают вопрос – а какая наука сложнее, физика или математика? Сложностей хватает и там, и тут – но есть и огромная разница.
Математика ничто не ограничивает в его фантазии, он может лепить из своих значков хоть чёрта лысого – главное, получить верный результат, найти закономерность, формулу. «Ой, что-то там не сходится, не совпадает? Тогда мы сейчас допишем вот так и вот так, и всё заработает!»
А вот физик чаще всего такой свободы лишён, ему приходится «играть по правилам». Ему за каждое «допишем формулу» приходится «измышлять гипотезы». Почувствуйте разницу – одно дело знать как управлять автомобилем, а совершенно другое – уметь объяснить от начала и до конца почему он ездит...









