Почему в школе говорят, что «атомы — это базовые кирпичики материи»? Ведь сами же атомы состоят из элементарных частиц. Протоны и нейтроны, в свою очередь, сами состоят из кварков. Получается, в школе говорят неправду. Зачем?!!

Если вы столкнулись с подобной ситуацией, значит вы увидели в действии классический метод обучения, который называется «Ложь детям».
Его суть в том, что очень сложная идея упрощается максимально, чтобы человек освоил базовые понятия. После этого можно ему рассказывать больше деталей.
Представьте, к вам подойдет ребенок с вопросом:
-Из чего состоят все предметы в нашем мире?.
А вы ему:
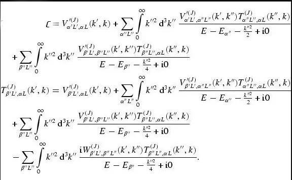
-Да все просто, взгляни сюда. Уравнения квантовой механики объясняют, как устроен наш мир:

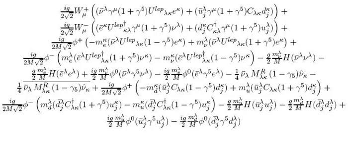
Ну и, безусловно, лагранжиан стандартной модели, куда же без него:

Если вы ему ответите так, то надолго отобьете охоту задавать вопросы. А заодно лишите его возможности просветиться.
Возьмем следующий этап. Хорошо, атом сам состоит из частиц: ядра (протоны+нейтроны) и электроны, которые вращаются вокруг него по орбитам. Хорошо знакомая по школе картинка?

Но она совсем не верна! Потому что электроны не локализованы как планеты. У них нет стационарных орбит. Они, скорее, размазаны, как варенье (или, как говорят физики - в виде облака).
Далее уже начинается институтская физика, которая объясняет, как устроен атом «на самом деле». И это тоже будет упрощением и не совсем 100% правдой. По сути, уточнять картину мира можно до бесконечности. Но это не Сизифов труд. На каждом этапе мы все-таки расширяем свои знания о мире.

Пусть и упрощенно. Зато наглядно и понятно!
В упрощении нет ничего плохого. Здесь действует популярная схема 80 на 20. Фактически, за основу берется 80% главной сути нужного факта. А 20% - самые сложны, отбрасываются. И этих 80% информации хватает, чтобы человек разобрался в базовых понятиях.

Важно, чтобы ребенок хотел и дальше исследовать мир. Поэтому знания нужно давать дозировано, от простого - к сложному
Главное только использовать упрощение правильно - для обучения или для того, чтобы донести новые знания и информацию до человека. В профессиональном же плане, если ты, допустим, физик-исследователь, то упрощения тебе только помешают.
У метода «лжи детям» есть и обратная сторона.
Если человек прекратит учиться и расширять кругозор на этом этапе, то потом он всю жизнь живет с уверенностью, что знает всю правду. Хотя, на самом деле, его представления о мире весьма скромны - на уровне позднего Средневековья, хотя с тех пор было сделано немало больших открытий.

Конечно, постигать нюансы квантовой механики всем подряд нет необходимости (даже не все физики других профилей ее понимают). Но расширение кругозора даже во взрослом возрасте - это ключ к успеху. Ведь эрудированность и развитое мировоззрение помогает в любых областях - от отношений с близкими до карьерного роста. Поэтому я очень рад, что мы с вами, дорогие читатели, вместе продолжаем этим заниматься, несмотря на то, что нам уже давно не 16 лет.
Этот метод также отражает процесс познания и историю всего человечества.
Например, утверждение, что атомы - неделимые частицы и из них состоит мир, в свое время было прогрессом. Греческий философ Демокрит без микроскопов и других хитроумных устройств догадался, что мир состоит из микрочастиц. Конечно, он не представлял их детально. Но с их помощью он стал объяснять сложное устройство нашего мира.
Когда учат сложным наукам в школе, то проходят тот же путь, что в свое время прошло человечество в своем познании. От простого - к сложному.