Планеты в небе двигаются в изящных орбитальных моделях, танцуя под Музыку Космоса. В этих движениях существует больше математической и геометрической гармонии, чем мы думаем. Книга Джона Мартинео «Небольшая книга совпадений», иллюстрирует орбитальные модели и некоторые из их геометрических соотношений.
Возьмите орбиты любых двух планет, и проведите линию между двумя положениями планеты за каждые несколько дней. Поскольку планета, двигающаяся по внутренней орбите, двигается более быстро, чем двигающаяся по внешней орбите, то образуются интересные модели. Каждая планетарная пара имеет свой собственный уникальный ритм танца. Например, танец Земли и Венеры возвращается к первоначальному положению после восьми земных лет. Восемь земных лет равняется тринадцати годам Венеры. Обратите внимание, что 8 и 13 являются числами ряда Фибоначчи.
Давайте посмотрим, как это выглядит …
Земля и Венера
Орбитальный резонанс в небесной механике — это ситуация, при которой периоды обращения двух (или более) небесных тел соотносятся как небольшие натуральные числа. В результате эти тела периодически сближаются, находясь в определённых точках своих орбит. Возникающие вследствие этого регулярные изменения силы гравитационного взаимодействия этих тел могут стабилизировать их орбиты.
В некоторых случаях резонансные явления вызывают неустойчивость некоторых орбит. Так, щели Кирквуда в поясе астероидов объясняются резонансами с Юпитером; деление Кассини в кольцах Сатурна объясняются резонансом со спутником Сатурна Мимасом.
Марс и Венера
Сатурн и Юпитер
Уран и Сатурн
Юпитер и Земля
Марс и Земля
Земля и Меркурий
А кому то все это может быть напомнит:
Спирограф был изобретён британским инженером Дэнисом Фишером (Denys Fisher) (1918-2002) в 1962 году. Изобретение не помогло Дэнису продвинуться в своей работе, но оно настолько понравилось членам его семьи, что он решил выпустить его в качестве игрушки. Первые заказчики получили игрушку в 1965 году.
Спирограф был назван лучшей обучающей игрушкой мира 4 года подряд, с 1965 по 1969 год.
Стандартный спирограф представляет собой прямоугольную линейку (основной трафарет) с двумя рабочими зубчатыми отверстиями внутри. Отверстия имеют круглую форму и различный диаметр. В меньшем отверстии нарезано 96 зубчиков, в большем отверстии — 105 зубчиков.
К линейке прилагается несколько зубчатых колесиков, с дырочками внутри, и набор фигурных трафаретов, которые имеют правильную геометрическую форму (ромб, треугольник, квадрат, звезда, восьмигранник).
В полной комплектации есть также трафареты в виде фигурок рыб (дельфин, акула), бабочек, бантика, ёжика, котика, крестиков и трафарет-транспортир в виде круга.
Спирограф одна из самых высокоинтеллектуальных игр 20 века. Количество вычерчиваемых узоров исчисляется цифрой с четырьмя нулями. И ограничивается только фантазией и способностями самого человека.
Немного математики:
Гипотрохоид с параметрами R= 1,0, r= 0,6, d= 1,2.
Гипотрохоид с параметрами R= 1,0, r= 0,6, d= 1,2.
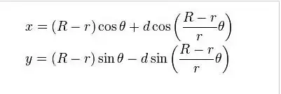
Фигура, получаемая с помощью простейшего спирографа из двух кругов, когда маленький (радиуса r) с отверстием на расстоянии d от центра, вращается в большом (радиуса R), называется гипотрохоидой. Её формула в декартовых координатах:
Узоры, получаемые при помощи спирографа, напрямую зависят от количества зубчиков рабочих окружностей и подвижных колесиков.
Узоры, рисуемые квадратиками, звёздочками, бабочками и т.д., зависят от расстояния между зубчиками этих фигурок. Здесь вступает в силу такое понятие, как «квадратура круга».
Всю длину (по периметру) между зубчиками фигурки можно выразить через длину окружности. Например, в результате рисования квадратом и кругом, у которых периметр равен длине круга, получатся узоры с равным количеством заострений. Только узор, вычерченный кругом, будет с закруглёнными заострениями (лучами), а вычерченный квадратом — с ломанными, острыми.
[media=http://www.youtube.com/watch?v=p
cIbEv3S9x4&feature=player_embedded]
cIbEv3S9x4&feature=player_embedded]
источники
http://joyreactor.cc/post/1636845
http://log-in.ru/articles/spirograf/
https://ru.wikipedia.org/wiki/%D0%9E%D1
%80%...%B0%D0%BD%D1%81
http://joyreactor.cc/post/1636845
http://log-in.ru/articles/spirograf/
https://ru.wikipedia.org/wiki/%D0%9E%D1
%80%...%B0%D0%BD%D1%81
А вот еще немного интересного про космос: вот тут можно оценить Масштабы вселенной, а вот Эффект Иисуса Навина. Недавно предполагали, что какая то Неведомая фигня высасывает Солнце ?











