Мини-чат
{{message.author}}
Авторизация
Логин или e-mail:
Пароль:
Забыли пароль?
Авторизоваться
Нет профиля?
Зарегистрироваться
Или войти с помощью
4
1
4
Crazy
Интересное
Задачка дня (26 января 2025)
Интересное
,
Головоломка
,
Логика
,
Математика
,
Задача
,
Задачка дня
,
Решите пример
все теги
@uCrazy_org
Комментарии
4
Степан Сазонов
Степан Сазонов @Степан Сазонов
На uCrazy 2 года 1 месяц
Отправить ЛС
Копировать ссылку
Пожаловаться
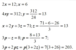
203
Vеrevkín
Николай Петров @Vеrevkín
На uCrazy 1 год 25 дней
Отправить ЛС
Копировать ссылку
Пожаловаться
levasstas
@levasstas
На uCrazy 5 лет 2 месяца
Отправить ЛС
Копировать ссылку
Пожаловаться
002
Водаврот
Кириллллл @Водаврот
На uCrazy 19 лет 10 месяцев
Отправить ЛС
Копировать ссылку
Пожаловаться
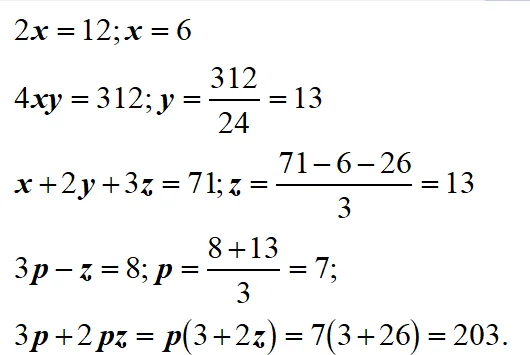
203
Поддерживаются прямые ссылки на изображения, а также ссылки на youtube, rutube, vk video, giphy, coub, tenor, t.me и т.д.
Смотрите также
{{PM_data.author}}
{{message.author}}
{{alertHeader}}